There’s a Reason Honda Made Active Exhaust, Don’t Disable

Jester04

CivicX Basic Sponsor
Joined
Aug 8, 2023
Threads
6
Messages
2,005
Reaction score
2,577
Location
Florida
Vehicle(s)
2023 Type R, 2006 s2000, 2022 Ram TRX, 2005 srt-4
Build Thread
Link
I'm always running in Individual mode: engine set to sport, suspension/steering/engine noise set to comfort.
So you will have a delay with the valve I would test in R+ mode just to check. If the roughness that you feel is still there.
 

sashimi

Senior Member
Joined
Jun 30, 2023
Threads
11
Messages
81
Reaction score
66
Location
US
Vehicle(s)
CW FL5
Just tested again today driving back to back with and without the fuse pull. With the valve stuck open, car feels gutless down low (feels more N/A engine) and there is less surge of torque from the turbo that is felt with the valve closed. The valve definitely serves a beneficial purpose with however the stock tune is set up.
 

Jester04

CivicX Basic Sponsor
Joined
Aug 8, 2023
Threads
6
Messages
2,005
Reaction score
2,577
Location
Florida
Vehicle(s)
2023 Type R, 2006 s2000, 2022 Ram TRX, 2005 srt-4
Build Thread
Link
Just tested again today driving back to back with and without the fuse pull. With the valve stuck open, car feels gutless down low (feels more N/A engine) and there is less surge of torque from the turbo that is felt with the valve closed. The valve definitely serves a beneficial purpose with however the stock tune is set up.
What mode did you drive it in?
 

fredzy

Senior Member
Joined
Nov 15, 2021
Threads
3
Messages
207
Reaction score
222
Location
PA
Vehicle(s)
Sienna, GR86, TourX
Yes the torque target requests change on drive mode so the throttle will feel more vague or slower responding in comfort compared to sport or R+.

The valve is closed for longer in comfort that is for sure so that would have to be tested to confirm 100%

With tuning you can get the throttle response to be snappier in comfort.

I can check for you tomorrow for the Type S
Question for you - I'm only curious so if you don't have this information I'm not asking you to go dig it out

What does the CTR's "throttle curve" look like for each mode? Meaning what is the requested torque per %throttle (how far pedal is pressed)?

I used Sport setting initially as I was weary of overly touchy gas pedal from my Subaru experience - see below. CTR sorta seemed that way to me in +R, too touchy. In the end I settled on +R as it has been easy enough to drive smoothly and is seemingly more predictable there.

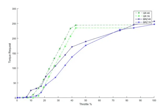
The stupid GR86 effectively has an on/off switch pedal. The plots show the requested torque vs. pedal position (throttle %) at 2 different engine speeds. My understanding is the curves are similar from idle as well, including the dead zone under 10% press. Very frustrating flaw to an otherwise perfect car.

11th Gen Honda Civic There’s a Reason Honda Made Active Exhaust, Don’t Disable 1710422716245-yl


If I only drove the GR86 I'd get used to it but jumping back and forth between it and a car with a very intuitive and linear throttle (GR Corolla) made it hard. The CTR's throttle does not seem linear to me, not as easy to control as GRC but isn't terrible. Sport and especially Comfort modes in CTR seem to introduce some initial dead zone making them harder to be consistent with than +R.
 


Jester04

CivicX Basic Sponsor
Joined
Aug 8, 2023
Threads
6
Messages
2,005
Reaction score
2,577
Location
Florida
Vehicle(s)
2023 Type R, 2006 s2000, 2022 Ram TRX, 2005 srt-4
Build Thread
Link
Question for you - I'm only curious so if you don't have this information I'm not asking you to go dig it out

What does the CTR's "throttle curve" look like for each mode? Meaning what is the requested torque per %throttle (how far pedal is pressed)?

I used Sport setting initially as I was weary of overly touchy gas pedal from my Subaru experience - see below. CTR sorta seemed that way to me in +R, too touchy. In the end I settled on +R as it has been easy enough to drive smoothly and is seemingly more predictable there.

The stupid GR86 effectively has an on/off switch pedal. The plots show the requested torque vs. pedal position (throttle %) at 2 different engine speeds. My understanding is the curves are similar from idle as well, including the dead zone under 10% press. Very frustrating flaw to an otherwise perfect car.

1710422716245-yl.png


If I only drove the GR86 I'd get used to it but jumping back and forth between it and a car with a very intuitive and linear throttle (GR Corolla) made it hard. The CTR's throttle does not seem linear to me, not as easy to control as GRC but isn't terrible. Sport and especially Comfort modes in CTR seem to introduce some initial dead zone making them harder to be consistent with than +R.
Yes so I can snap you a picture of the tables when I get home but there are some deadspots and it’s not the most linear throttle. But the good news its that it can be adjusted in the Hondata software. I spent a good deal on them to get them just right for my driving style.
 

sashimi

Senior Member
Joined
Jun 30, 2023
Threads
11
Messages
81
Reaction score
66
Location
US
Vehicle(s)
CW FL5
What mode did you drive it in?
I tested every drive mode combination including the exhaust sound in individual (which only changes the in cabin pumped in audio right?), but mostly R+ engine when in individual mode. It’s not placebo or just butt dyno, there’s an objective difference felt. The Type S must have a tune that works even with the valve staying open in sport +
 

TypeOne

Senior Member
Joined
Aug 18, 2015
Threads
1
Messages
111
Reaction score
168
Location
Baton Rouge
Vehicle(s)
Type-Rs!
Valve has been open 100% since the day I bought the car. It doesn't do anything you can feel haha.
 

fredzy

Senior Member
Joined
Nov 15, 2021
Threads
3
Messages
207
Reaction score
222
Location
PA
Vehicle(s)
Sienna, GR86, TourX
Yes so I can snap you a picture of the tables when I get home but there are some deadspots and it’s not the most linear throttle. But the good news its that it can be adjusted in the Hondata software. I spent a good deal on them to get them just right for my driving style.
Appreciate, like I said don't go out of your way. If I tuned the CTR for sure that would be an objective but it's really not bad.

Of course the same option is there with the 86.. let's just say I want to ensure my factory powertrain warranty isn't jeopardized in that car ?

Also, on topic - I mentioned in the other thread but count me as "no issues" with valve open. And as you can see from above I'm a bit picky about throttle feel and response. I will say I haven't experimented with it normal vs. stuck open, and I opened it up before the end of break-in. I would try it in stock form again but I don't want to give the sound back.
 

Jester04

CivicX Basic Sponsor
Joined
Aug 8, 2023
Threads
6
Messages
2,005
Reaction score
2,577
Location
Florida
Vehicle(s)
2023 Type R, 2006 s2000, 2022 Ram TRX, 2005 srt-4
Build Thread
Link
I tested every drive mode combination including the exhaust sound in individual (which only changes the in cabin pumped in audio right?), but mostly R+ engine when in individual mode. It’s not placebo or just butt dyno, there’s an objective difference felt. The Type S must have a tune that works even with the valve staying open in sport +
The reason I ask is because in R+ mode the valve opens before the turbo even spools. So I’m trying to figure out why you guys are getting these experiences.
 


Jester04

CivicX Basic Sponsor
Joined
Aug 8, 2023
Threads
6
Messages
2,005
Reaction score
2,577
Location
Florida
Vehicle(s)
2023 Type R, 2006 s2000, 2022 Ram TRX, 2005 srt-4
Build Thread
Link
Appreciate, like I said don't go out of your way. If I tuned the CTR for sure that would be an objective but it's really not bad.

Of course the same option is there with the 86.. let's just say I want to ensure my factory powertrain warranty isn't jeopardized in that car ?

Also, on topic - I mentioned in the other thread but count me as "no issues" with valve open. And as you can see from above I'm a bit picky about throttle feel and response. I will say I haven't experimented with it normal vs. stuck open, and I opened it up before the end of break-in. I would try it in stock form again but I don't want to give the sound back.
Here are the torque throttle tables for a stock car.

Comfort
Sport
R+

11th Gen Honda Civic There’s a Reason Honda Made Active Exhaust, Don’t Disable IMG_3559


11th Gen Honda Civic There’s a Reason Honda Made Active Exhaust, Don’t Disable IMG_3561


11th Gen Honda Civic There’s a Reason Honda Made Active Exhaust, Don’t Disable IMG_3560
 
  • Like
Reactions: rui

Noize

Senior Member
Joined
Dec 7, 2018
Threads
11
Messages
557
Reaction score
487
Location
Under the radar
Vehicle(s)
2023 Civic Type R
No difference in feel for me in my stock car +R valve open or closed.

Individual mode also has the most aggressive throttle mapping, so it’s same as +R.

I did not try it in sport or comfort, as I never use them and hate the tach in those modes as well as the super laggy acceleration.
 

Jester04

CivicX Basic Sponsor
Joined
Aug 8, 2023
Threads
6
Messages
2,005
Reaction score
2,577
Location
Florida
Vehicle(s)
2023 Type R, 2006 s2000, 2022 Ram TRX, 2005 srt-4
Build Thread
Link
No difference in feel for me in my stock car +R valve open or closed.

Individual mode also has the most aggressive throttle mapping, so it’s same as +R.

I did not try it in sport or comfort, as I never use them and hate the tach in those modes as well as the super laggy acceleration.
I only use R+ mode for the engine. To me anything else is just meh. And with my setup anything that is not on R+ will limit power.
 

fredzy

Senior Member
Joined
Nov 15, 2021
Threads
3
Messages
207
Reaction score
222
Location
PA
Vehicle(s)
Sienna, GR86, TourX
Here are the torque throttle tables for a stock car.

Comfort
Sport
R+
Wow thanks. I used picture to text to convert the tables to spreadsheet so I could plot them - surprisingly little difference between the modes and quite linear.

Ideally I would make a gif of the 3 images looping so you could see the differences but maybe someone else could do that.

11th Gen Honda Civic There’s a Reason Honda Made Active Exhaust, Don’t Disable comfort
11th Gen Honda Civic There’s a Reason Honda Made Active Exhaust, Don’t Disable Sport
11th Gen Honda Civic There’s a Reason Honda Made Active Exhaust, Don’t Disable R
 
 







Top